社區照顧雲端服務平台
活動首頁
活動剪影
(06)2664911 #7200、7202
資訊
活動資訊
簡易行程
服務人員
問題諮詢
活動結束
計畫助理討論會議
2026-01-22(四) ~
活動資訊
簡易行程
服務人員
問題諮詢
計畫助理討論會議
活動結束
活動日
2026-01-22(四)
問題諮詢 - 我要發問
我要發問
問題填寫
*
姓名
*
手機
E-Mail
Line ID
*
問題內容
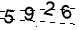
驗 證 碼
(
更換
)
返回問題諮詢
返回列表